Category: public posts
The select public posts from syn·op·sis, written and reviewed by iSci students at McMaster University. Each post is interdisciplinary in nature, and a wide variety of subject matter is covered. So sit back, relax, and start learning.
-

What’s cooking your food?
After a late night of studying leaves you with a hole in your stomach, you decide to head to the kitchen and warm up a slice of left-over pizza in the microwave. You see it spinning and wonder how this little box can cook your food, well the answer is in the name itself- microwaves!…
-
The Impact of Israel’s Genocide on the Children of Palestine
Trigger Warning: This post discusses topics of genocide and trauma. For over 70 years, the people of Palestine, including their children, have endured unimaginable grief and violence. Homes have been completely destroyed, hospitals are filled far beyond their capacities, and Palestinians are killed by airstrikes and bullets every day (Farajallah, 2022). In 2020, it was…
-
Turning Over a New Leaf in Vaccine Production
Vaccines are one of the most valuable innovations in modern medicine, saving an estimated four to five million lives every year (World Health Organization, 2019). Carter et al. (2021) estimate that vaccines could prevent 51 million deaths between 2021 and 2030. However, millions of people around the globe do not have access to vaccines (Figure…
-

VNS: A Stimulating Treatment for Epilepsy
While there are many instances in which synchronicity may be beneficial, such as musicians playing in unison, the same cannot always be said for neurons in the brain. A seizure results from atypical, hypersynchronous electrical activity in the brain (Milligan, 2021). Neurons become overexcited and fire in abnormal patterns, often recruiting neighboring neurons to fire…
-

When it Comes to Quantum Dots, Size Matters!
Can you imagine the development of a tiny particle that can be an aspect of furthering research and knowledge in a magnitude of different scientific disciplines? As crazy as this seems, this phenomenon is made true through the development of quantum dots (QDs). These are semiconductor particles that range in size from just a few…
-

Unveiling the Environmental and Health Impacts of Microplastics
Microplastics have become a modern concern for the health of our ecosystems as well as for our own bodies. Between 1950 and 2015, approximately 6.3 billion tonnes of plastic waste were globally produced, and it is estimated that in 2015, up to 51 trillion microplastic particles (MPs) were drifting in the ocean waters (Xiang, et…
-

Sleep Deprivation: Voluntary Biological, Neurochemical, and Psychological Starvation
Although not commonly named alongside food, water, and shelter, sleep is a basic need that many misclassify as a neglectable desire. From maintaining immunological function and hormonal balance to emotional and neurological health, sleep optimizes the efficiency of biological processes (Stickgold, 2015). In the realm of psychology, Maslow’s hierarchy of needs is an anthropological theory…
-

What Does Aerospace Engineering and Napkin Folding Have in Common?
In the realm of fine dining, the napkin swan plated in front of you may seem like a simple creation, but crafted within its edges lies the secret to effective and efficient space travel beyond its artistry folding. In any origami construction, there lies thousands of complex geometric structures and patterns that borrow mathematical algorithms…
-
Enhancing Pre-Clinical Testing with 3D Cell Cultures Copy
The pharmaceutical industry, driven by the new benchmarks in research and development from the COVID-19 pandemic, is surging forward with a variety of innovative and new technological methods for drug discovery, one of them being the use of 3-dimensional (3D) cell culture models (Nicholson, 2023). 3D cell culture models are in vitro multicellular structures designed…
-
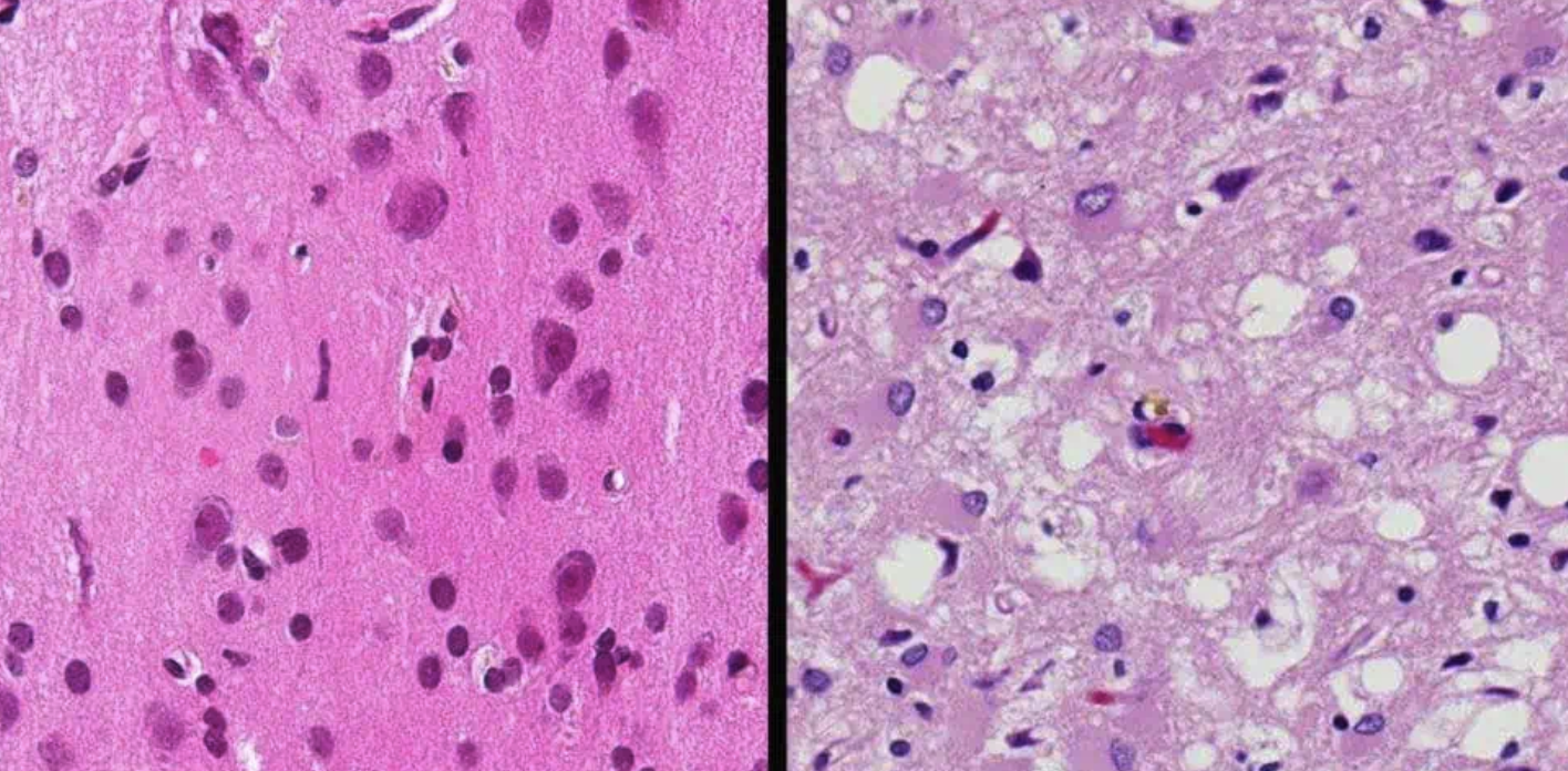
Creutzfeldt-Jakob: the Menace that Kills
An incurable disease that deteriorates the brain at a rapid pace and leads to the inevitable fatality of its victim seems like something out of a nightmare. Creutzfeldt-Jakob Disease (CJD) is a rare degenerative brain disorder belonging to a group of transmissible spongiform encephalopathies, a group of prion diseases that cause tiny holes in the…